Abstract
Introduction
In patients with chronic myeloid leukemia (CML) the functioning of the stromal microenvironment is altered at the onset of the disease. Alterations are observed in both multipotent mesenchymal stromal cells (MSCs) and more mature stromal progenitor cells - colony-forming units fibroblasts (CFU-F). It was shown previously that MSCs of patients with CML at the onset of the disease support cobble-stone area forming cells better than MSCs of donors, and this ability increases during treatment. It is known that MSCs of CML patients are found in the bone marrow (BM) less frequently than those of donors. In our previous study, there was also a decrease in the incidence of MSC (which follows from the increased growth time to the formation of the confluent monolayer after BM implantation in the culture (time to P0)). With the advent of tyrosine kinase inhibitors (TKI), the lifespan of patients with CML increased significantly. In most cases, approximately one year after initiation of treatment, tumor cells do not affect stromal progenitors, and for a period longer than 5 years, changes in the stromal microenvironment are most likely associated with TKI. The aim of the study was to determine the changes in stromal progenitors of CML patients for a long time after the start of the therapy.
Methods
The study included 19 patients at the onset of the disease, 15 at 0.3 and 1 year, 16 at 4-6 years and 24 at 7-16 years after the start of treatment with TKI.BM was collected during routine diagnostic punctures after informed consent BM from 91 healthy donors was used as a control group. MSCs and CFU-F from the BM of donors and CML patients were analyzed by cultivation in standard conditions (aMEM, fetal calf serum 10% for MSCs and 20% for CFU-F) for 3 passages. Relative expression level (REL) of 33 genes involved in proliferation, differentiation and immunomodulation was estimated by RT-qPCR in all MSC samples. The results from all groups were compared with Student's t-test for independent groups. p<0.05 was considered statistically significant; all data are presented as mean ± SEM.
Results
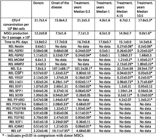
At the onset of the disease the number of CFU-F in the BM of CML patients, was significantly reduced, the concentration of CFU-F normalized in 4 months after the start of treatment, then decreased almost 4-fold and restored only in 7 years of treatment (table). MSCs production was reduced both at the debut of the disease and during the 1st year of therapy restoring at 4 years of treatment. However later it decreased again. Time to P0 was significantly increased during the entire first year of treatment, indicating a decrease in the concentration of MSCs in the BM of patients. Later time to P0 differs from donors insignificantly. Thus, stromal progenitor cells in patients with CML differ from those of donors, both at the onset of the disease and during long-term treatment. Obviously, different categories of precursor cells behave differently. In patients MSCs the expression of 20 genes was significantly changed (table). At the onset of the disease the expression of IL6, CSF1, FGFR2, JAG1, PPARG, PDGFRA, IGF1 and LIF was significantly increased. Four months after the start of treatment, the patients MSCs had increased expression of IL6, PDGFRB and LIF only, while REL of FGFR1, FGFR2, VEGF, SDF1, JAG1 and SPP1 decreased in comparison with donors. After 4-16 years of treatment REL of FGFR1, MCAM, MMP2, CSF1, VEGF decreased and REL of IL6 and SPP1 increased in comparison with donors.
Conclusions
In patients with CML, the BM stromal microenvironment is altered and does not normalize even during 16 years of therapy. Probably, the changes are of a dual nature: initially they are associated with damage to the stroma by tumor cells, and subsequently depend on the duration of the treatment.
The materials are supported by grant from the Russian Foundation for Basic Research, Project № 15-04-02514
Shipounova: Russian Foundation for Basic Research, Project № 15-04-02514: Research Funding. Chelysheva: Fusion Pharma LLC: Consultancy.
Author notes
Asterisk with author names denotes non-ASH members.

This feature is available to Subscribers Only
Sign In or Create an Account Close Modal